Radicals
The n-th root is the inverse operation of exponentiation with exponent n.
Extracting the n-th root of a real number a means finding a real number b such that bn = a, with n>0.

Here, a is called the radicand, and n is called the index of the root. The expression n√a is known as a radical.

The index of a root is a nonzero natural number, n ∈ N-{0}.
- If n=2, the root is called the square root. Such expressions are also referred to as quadratic radicals. $$ \sqrt[2]{a} = b \Longleftrightarrow b^2 = a $$
For square roots, the index is conventionally omitted. $$ \sqrt{a} = b \Longleftrightarrow b^2 = a $$
- If n=3, the root is called the cube root. Such expressions are also referred to as cubic radicals. $$ \sqrt[3]{a} = b \Longleftrightarrow b^3 = a $$
For n ≥ 4, we speak of the fourth root, fifth root, sixth root, and so on.
The root of a real number
Consider any real number a ∈ R and any natural number n ≠ 0.
- If the index n is odd, every real number admits exactly one real n-th root. This root has the same algebraic sign as the radicand.
Example. The cube root of 8 equals 2 because $$ 2^3 = 2 \cdot 2 \cdot 2 = 8. $$ Hence $$ \sqrt[3]{8} = 2. $$
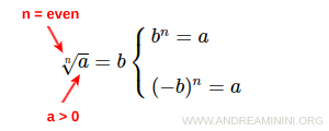
- If the index n is even, three cases must be considered.
- a > 0
If the radicand is positive, there are two real numbers whose n-th power equals a, one positive and one negative.

By convention, however, the radical symbol denotes the principal (nonnegative) root. $$ \sqrt[n]{a} = b \quad \text{with} \quad b \ge 0. $$Example. $$ \sqrt{9} = 3, \quad 3^2 = 9. $$ When solving $$ x^2 = 9, $$ both solutions must be included: $$ x = \pm \sqrt{9}. $$ Therefore: $$ \pm \sqrt{9} = \begin{cases} +3, \quad (+3)^2 = 9 \\ -3, \quad (-3)^2 = 9 \end{cases} $$ The expression \(\sqrt{9}\) represents only the principal root.
- a = 0
If the radicand is zero, there is exactly one real n-th root, namely zero.
$$ 0^1 = 0, \quad 0^2 = 0 \cdot 0 = 0, \quad 0^3 = 0 \cdot 0 \cdot 0 = 0, \quad \vdots $$
- a < 0
If the radicand is negative, an even-index root is undefined in the real numbers, because no real number raised to an even power can be negative.
Remark. If the index is odd, roots of negative numbers do exist: $$ \sqrt[3]{-8} = -2, \quad (-2)^3 = -8. $$ For even indices, the expression is undefined in \(R\).
- a > 0
When working with radicals, it is therefore essential to state the existence condition (domain), which depends on whether the index is even or odd.
Example
Consider the radical
$$ \sqrt{x-3} $$
This is a square root, so the index is even.
The radicand must be nonnegative:
$$ x - 3 \ge 0 $$
$$ x \ge 3 $$
$$ \sqrt{x-3} \quad \ domain: \ \quad \forall \ x \ge 3 $$
Explanation. Solve the inequality: $$ x - 3 \ge 0. $$ Add 3 to both sides: $$ x - 3 + 3 \ge 0 + 3 $$ $$ x \ge 3. $$
Example 2
Now consider
$$ \sqrt[3]{x-3} $$
This is a cube root, so the index is odd.
The radicand may take any real value:
$$ \sqrt[3]{x-3} \quad \ domain: \ \quad \forall \ x \in R $$
Note. The existence condition is often omitted for odd-index radicals. Stating it explicitly remains good mathematical practice.
Properties and operations with radicals
The principal properties of radicals include:
- m-th power of a radical
$$ \left( \sqrt[n]{a} \right)^m = \sqrt[n]{a^m} $$ - Invariance property
$$ \sqrt[n]{a^m} = \sqrt[n \cdot p]{a^{m \cdot p}}, \quad p > 0 $$ - Product of radicals with the same index
$$ \sqrt[n]{a^m} \cdot \sqrt[n]{b^p} = \sqrt[n]{a^m b^p} $$ - Quotient of radicals with the same index
$$ \frac{\sqrt[n]{a^m}}{\sqrt[n]{b^p}} = \sqrt[n]{\frac{a^m}{b^p}} $$ - Nested Radicals
$$ \sqrt[n]{\sqrt[p]{a}} = \sqrt[n p]{a} $$ - Extracting a factor
$$ \sqrt[n]{a^{n q + r}} = a^q \sqrt[n]{a^r} $$ - Bringing a factor inside
$$ b \sqrt[n]{a} = \sqrt[n]{b^n a} $$
Special radicals
$$ \sqrt{a^2} = |a| $$
$$ (\sqrt[n]{a})^n = a $$
$$ \sqrt[n]{a^m} = a^{m/n} $$
$$ \sqrt[1]{a} = a $$
$$ \sqrt[n]{0} = 0 $$
$$ \sqrt[n]{1} = 1 $$
$$ \sqrt[0]{a} = undefined $$
$$ \sqrt[even]{a<0} = undefined \text{ in } R $$
Square roots in the complex numbers
In the real number system, the square root of a nonnegative real number \(a\) is defined as the principal (nonnegative) solution of the equation \(x^2 = a\).
Examples: \( \sqrt{25} = 5\), \( \sqrt{4} = 2\), \( \sqrt{0} = 0\).
In the complex number system, roots are inherently multivalued.
Every nonzero complex number has two distinct square roots. More generally, the equation \(z^n = w\) admits exactly n complex solutions.
See the notes on the roots of a complex number.
And so on.
