Relativity of Time
The relativity of time stands among the most groundbreaking insights of Einstein's theory of relativity, fundamentally reshaping how we understand motion, light, and the very flow of time itself.
What does "relative time" mean?
Time doesn't pass at the same rate for everyone. Depending on how fast you're moving - or the conditions you're in - it can seem to slow down or speed up.
Time slows down with speed
The duration of an event depends on the reference frame from which it is observed.
Example. In a stationary frame, an event might last t seconds. But to an observer moving at nearly the speed of light, the same event appears to last longer.
It isn't the event itself that slows down - it's the passage of time that stretches.
Experimental evidence of time dilation
One of the clearest experimental confirmations of time dilation comes from studying cosmic rays - high-energy particles born in outer space and travelling almost at the speed of light.
When these cosmic rays strike Earth's atmosphere about 10 kilometres above the surface, they generate subatomic particles known as muons.

Roughly 3·10-5 seconds later, the muons and cosmic rays reach the Earth's surface.
Where's the catch?
In theory, we shouldn't detect muons at ground level at all, since their typical lifetime is only about 1.5·10-6 seconds.

Muons shouldn't make it to the surface - their decay should have occurred long before.
The decay process is about twenty times shorter than the time it would take them to travel through 10 km of atmosphere to reach the ground.
So how is this possible?
According to Einstein's theory, the speed of light is a universal constant - independent of the observer's frame of reference. No particle can exceed that speed.
If the speed of light is constant, the only consistent explanation for the muons' survival is the dilation of time and space.

For the muons, time flows far more slowly than it does on Earth because they're travelling close to light speed.
For every second that passes for the muon, about twenty seconds elapse on Earth.

This natural phenomenon is known as time dilation.
Note. To an observer on Earth, the muon's decay appears twenty times slower than normal - as if viewed in extreme slow motion.
According to Einstein's second postulate of relativity, the speed of light remains constant in all frames of reference - both for a stationary observer and for one moving at high speed.

Therefore, if the speed of light is fixed while a particle's decay slows down, the particle can cover a greater distance before disintegrating.
This explains why muons manage to reach the Earth's surface.
This observation provides solid empirical confirmation of the relativity of time.
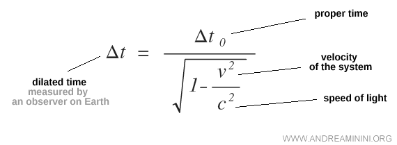
The time dilation formula
Experiments have established a precise relationship between the time t measured in a stationary frame and the time t′ measured in a moving inertial frame.

The mathematical expression for time dilation is as follows:

When the inertial frame is at rest (v = 0), time flows at the same rate in both systems.

However, as the velocity (v) increases, the flow of time in the moving frame slows down relative to that of the stationary one.


Example. Imagine a clock aboard a fast-moving spacecraft (Fig. C - left clock). Due to time dilation, its hands would tick far more slowly than those on clocks remaining on Earth (Fig. A - right clock).
Time expands while space contracts
Space and time are not separate entities but aspects of a single continuum known as spacetime (or chronotope).
An effect directly linked to time dilation is spatial contraction: when time expands (slows down), space contracts - and the reverse is also true.

Both space and time are relative, interdependent quantities. This deep interconnection stands as one of the greatest achievements of Einstein's theory of relativity.
